
February 2015 IS29GL_128S_01GS_00_Rev.A GL-S MirrorBit
®
Family 29
Data Sheet
with invalid or unstable data values. In this case the same area will need to be reprogrammed with the same
data or erased to ensure data values are properly programmed or erased.
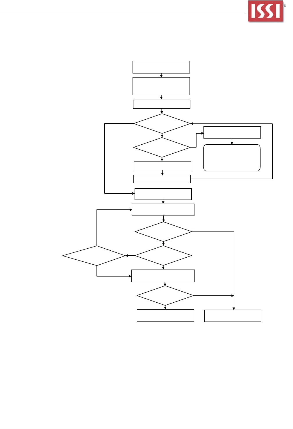
Figure 5.2 Write Buffer Programming Operation with Data Polling Status
Notes:
1. DQ7 should be rechecked even if DQ5 = 1 because DQ7 may change simultaneously with DQ5.
2. If this flowchart location was reached because DQ5 = 1, then the device FAILED. If this flowchart location was reached because DQ1 = 1,
then the Write Buffer operation was ABORTED. In either case the proper RESET command must be written to the device to return the
device to READ mode. Write-Buffer-Programming-Abort-Rest if DQ1 = 1, either Software RESET or Write-Buffer-Programming-Abort-
Reset if DQ5 = 1.
3. See Table 6.1, Command Definitions on page 57 for the command sequence as required for Write Buffer Programming.
4. When Sector Address is specified, any address in the selected sector is acceptable. However, when loading Write-Buffer address
locations with data, all addresses MUST fall within the selected Write-Buffer Page.
Write “Write to Buffer”
command Sector Address
Write “Word Count”
to program - 1 (WC)
Sector Address
Write Starting Address/Data
WC = 0?
ABORT Write to
Buffer Operation?
Write to a different
Sector Address
Write to Buffer ABORTED.
Must write “Write-to-Buffer
ABORT RESET”
command sequence to
return to READ mode.
Write next Address/Data pair
WC = WC - 1
Write Program Buffer to Flash
Confirm, Sector Address
Read DQ7-DQ0 with
Addr = LAST LOADED ADDRESS
DQ7 = Data?
DQ5 = 1?
DQ1 = 1?
Read DQ7-DQ0 with
Addr = LAST LOADED ADDRESS
DQ7 = Data?
FAIL or ABORT
(Note 2)
PASS
No
Yes
(Note 4)
No
No
No
No
No
Yes
Yes
Yes
Yes
Yes
Komentarze do niniejszej Instrukcji